관성을 가진 Kuramoto 모델은 전력망과 같은 실제 시스템에서 나타나는 동기화 현상을 설명하는 대표적인 이론적 모형이다. 이러한 시스템에서는 많은 구성 요소들이 동일한 리듬으로 움직이며 안정성을 유지해야 하지만, 관성이 존재할 경우 동기화가 단순히 점진적으로 증가하지 않고, 계단형으로 변화하거나 시간에 따라 진동하는 복잡한 거동을 보이기도 한다. 이러한 진동적 동기화 현상은 실제 시스템의 안정성과 밀접하게 관련되어 있어, 그 발생 조건을 이해하는 것이 중요하다.
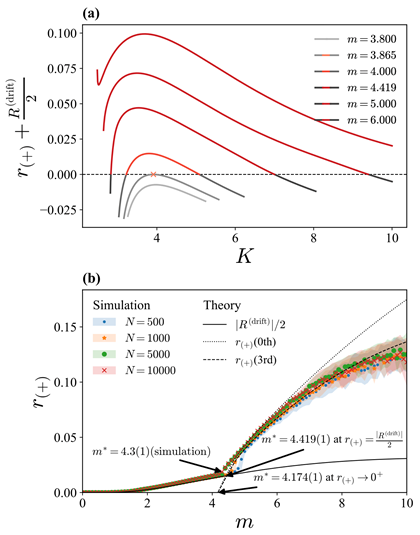
이러한 현상은 ‘secondary cluster(2차 동기화 집단)’라 불리는 부분적 동기화 구조와 밀접하게 관련되어 있는 것으로 알려져 있다. 2차 동기화 집단이란 전체가 하나로 동기화되기 전에 형성되는 중간 단계의 집단으로, 일부 진동자들이 서로 비슷한 속도로 묶여 움직이지만 전체와는 다른 속도를 유지하는 특징을 가진다. 이들은 완전히 무질서한 상태도, 완전히 동기화된 상태도 아닌 중간적인 상태를 형성하며, 서로 다른 방향이나 속도로 움직이면서 전체 동기화의 크기를 시간에 따라 흔들리게 만든다. 그러나 이러한 집단이 정확히 언제 나타나고, 어떤 조건에서 사라지는지는 정량적으로 밝혀지지 않은 문제로 남아 있었다.
부산대학교 물리학과 이미진 교수 연구팀은 한양대학교 손승우 교수 연구팀과 함께 secondary cluster를 명시적으로 기술하는 self-consistent 이론 프레임워크를 구축하고, 이들의 생성 및 소멸 조건을 정량적으로 규명하였다. 특히 2차 동기화 집단이 처음 등장할 수 있는 문턱값인 crossover mass(약 3.865)를 밝혔으며, 결합 강도(coupling strength)에 따라 이들이 존재하는 구간과 사라지는 시점을 예측할 수 있는 기준을 제시하였다. 이를 통해 전역 동기화가 진동하는 구간(oscillatory regime)과 그 종료 지점을 이론적으로 예측할 수 있음을 보였다.
이 연구는 복잡한 동기화 현상의 거시적 거동이 이러한 중간 규모의 집단 구조에 의해 결정된다는 점을 정량적으로 보여준 결과로, 전력망과 같은 실제 시스템에서 원치 않는 진동을 제어하는 데 중요한 기초를 제공할 것으로 기대된다.
본 연구 결과는 국제학술지 Chaos, Solitons & Fractals에 게재되었으며, 해당 저널은 2024년 JCR 기준 “PHYSICS, MATHEMATICAL” 분야 61개 저널 중 1위(상위 1.64%)에 해당하는 최상위권 학술지이다. 이번 연구는 한양대학교 박사과정생 김국영(제1저자)이 주도하고, 손승우 교수와의 공동 지도 아래 수행되었다.
논문: https://doi.org/10.1016/j.chaos.2026.118285

(그림1) 특정 파라미터 영역(질량과 상호작용 세기)에서 진동하는 전역적 동기화

(그림2) 2차 동기화 집단이 존재하는 질량과 상호작용 세기 영역 규명